ಬೆಂಗಳೂರು, (www.bengaluruwire.com) : ದೈನಂದಿನ ವಸ್ತುಗಳ ಬೆಲೆ ಏರಿಕೆಯಿಂದ ತತ್ತರಿಸಿರುವ ಬೆಂಗಳೂರಿಗರಿಗೆ ನಾಳೆಯಿಂದ (ಡಿ.1) ಆಟೋ ಬಾಡಿಗೆ ದರ ಏರಿಕೆಯ ಬಿಸಿ ತಟ್ಟಲಿದೆ.
ಪೆಟ್ರೋಲ್, ಡಿಸೇಲ್, ಗ್ಯಾಸ್ ರೇಟ್ ನಿಂದ ಕಂಗಾಲಾಗಿರುವ ಗ್ರಾಹಕರಿಗೆ ಬೆಂಗಳೂರು ನಗರ ಜಿಲ್ಲಾ ಪ್ರಾದೇಶಿಕ ಸಾರಿಗೆ ಪ್ರಾಧಿಕಾರ ಶಾಕ್ ನೀಡಿದೆ. ಡಿ.1 ರಿಂದ ಜಾರಿಗೆ ಬರುವಂತೆ ಬೃಹತ್ ಬೆಂಗಳೂರು ನಗರ ಪಾಲಿಕೆ (ಬಿಬಿಎಂಪಿ) ವ್ಯಾಪ್ತಿಯಲ್ಲಿ ಬಾಡಿಗೆ ಆಟೋಗಳ ನೂತನ ದರ ಪರಿಷ್ಕರಣೆ ಜಾರಿಗೆ ಬರಲಿದೆ.
ಹಳೆಯ ಕನಿಷ್ಠ ದರ (ನ.30 ರ ತನಕದ ದರ) ಮೊದಲ 1.9 ಕಿ.ಮೀಗೆ 25 ರೂ.ಗಳಾಗಿತ್ತು. ಆದರೀಗ ನೂತನ ಕನಿಷ್ಠ ದರ ಮೊದಲ 2 ಕಿ.ಮೀಗೆ 30 ರೂ.ಗಳಿಗೆ ಹೆಚ್ಚಾಗಲಿದೆ. ಅಂದರೆ ಇಲ್ಲಿ ಕನಿಷ್ಠ ದೂರವನ್ನು 100 ಮೀಟರ್ ಏರಿಕೆ ಮಾಡಿ ಮೊದಲ ಕನಿಷ್ಠ ದರವನ್ನು 5 ರೂ. ಹೆಚ್ಚಳ ಮಾಡಲಾಗಿದೆ.
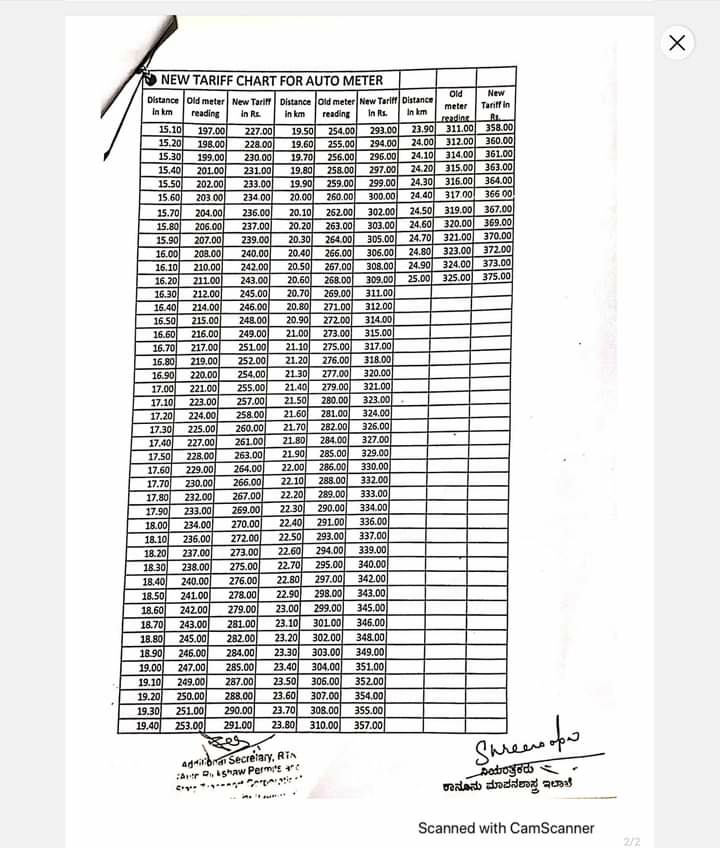
ಹಳೆಯ ದರ ಮತ್ತು ಪರಿಷ್ಕೃತ ದರಗಳ ಹೋಲಿಕೆಯ ವಿವರ 1.90 ಕಿ.ಮೀ ನಿಂದ 25 ಕಿ.ಮೀ ತನಕದ ಮಾಹಿತಿ ಈ ಕೆಳಕಂಡಂತಿದೆ ;

ಹಾಲಿ ದರದಲ್ಲಿ ಕನಿಷ್ಠ ದರ 1.9 ಕಿ.ಮೀ ನಂತರ ಪ್ರತಿ ಕಿ.ಮೀ ಆಟೊ ಬಾಡಿಗೆ ಮೂರು ಜನ ಪ್ರಯಾಣಿಕರ ಮಿತಿಗೊಳಪಟ್ಟು 13 ರೂ.ಗಳಾಗಿತ್ತು. ಆದರೆ ಡಿ.1 ರಿಂದ ಜಾರಿಗೆ ಬರುವಂತೆ ಮೊದಲ ಕನಿಷ್ಠ ದೂರದ ನಂತರ ಪ್ರತಿ ಕಿ.ಮೀ ಆಟೊ ಬಾಡಿಗೆ 15 ರೂ.ಗೆ ಅಂದರೆ ಎರಡೂ ರೂ. ಹೆಚ್ಚಿಸಲಾಗಿದೆ.
- ಹಾಲಿ, ಕಾಯುವಿಕೆ ದರ ಮೊದಲ 5 ನಿಮಿಷಕ್ಕೆ ಉಚಿತವಿತ್ತು. ಮೊದಲ ಐದು ನಿಮಿಷದ ನಂತರ ಪ್ರತಿ 15 ನಿಮಿಷ ಅಥವಾ ಅದರ ಭಾಗಕ್ಕೆ ಸದ್ಯ 5 ರೂ. ನಿಗದಿಯಾಗಿದೆ. ಪರಿಷ್ಕೃತ ದರದಲ್ಲಿ ಇದನ್ನು ಹಾಗೇ ಉಳಿಸಿಕೊಳ್ಳಲಾಗಿದೆ
- ಪ್ರಯಾಣಿಕರ ಲಗೇಜು ದರ ಮೊದಲ 20 ಕೆ.ಜಿಗೆ ಉಚಿತವಿದ್ದು, ನಂತರ ಪ್ರತಿ 20 ಕೆ.ಜಿಗೆ ಅಥವಾ ಅದರ ಭಾಗಕ್ಕೆ 2 ರೂ. ನಿಗಧಿಪಡಿಸಲಾಗಿದೆ. ಪ್ರಯಾಣಿಕರ ಆಟೋದಲ್ಲಿ ಗರಿಷ್ಠ 50 ಕೆ.ಜಿವರೆಗೆ ಲಗೇಜು ಹಾಕಲು ಅವಕಾಶವಿದೆ. ಪರಿಷ್ಕೃತ ನೂತನ ದರದಂತೆ ಮೊದಲ ಪ್ರತಿ 20 ಕೆ.ಜಿ ಹಾಗೂ ನಂತರ್ ಪ್ರತಿ 20 ಕೆ.ಜಿ ದರವನ್ನು 2 ರೂ. ನಿಂದ 5 ರೂ.ಗೆ ಹೆಚ್ಚಿಸಲಾಗಿದೆ.
- ಹಾಲಿ ದರದಂತೆ ರಾತ್ರಿ ವೇಳೆ ಅಂದರೆ ರಾತ್ರಿ 10 ರಿಂದ ಬೆಳಗಿನ ಜಾವ 5 ಗಂಟೆವರೆಗೆ ಆಟೋ ದರದ ಒಂದೂವರೆ ಪಟ್ಟು ಬಾಡಿಗೆ ವಿಧಿಸಲಾಗುತ್ತಿದೆ. ಇದೇ ಕ್ರಮವನ್ನು ಪರಿಷ್ಕೃತ ದರದಲ್ಲೂ ಮುಂದುವರೆಸಲಾಗಿದೆ.
ಬೆಂಗಳೂರು ನಗರ ಜಿಲ್ಲಾ ಪ್ರಾದೇಶಿಕ ಸಾರಿಗೆ ಪ್ರಾಧಿಕಾರದ ಅಧ್ಯಕ್ಷರೂ ಹಾಗೂ ಬೆಂಗಳೂರು ನಗರ ಜಿಲ್ಲೆ ಜಿಲ್ಲಾಧಿಕಾರಿ ಜೆ.ಮಂಜುನಾಥ್ ನ.6 ರಂದು ಜಿಲ್ಲಾ ಪ್ರಾದೇಶಿಕ ಸಾರಿಗೆ ಪ್ರಾಧಿಕಾರದ ಉಪಸಮಿತಿಯ ಶಿಫಾರಸ್ಸಿನಂತೆ ಈ ನೂತನ ದರ ಪರಿಷ್ಕರಣೆಯ ಆದೇಶ ಹೊರಡಿಸಿದ್ದಾರೆ.
ಪ್ರಾದೇಶಿಕ ಸಾರಿಗೆ ಪ್ರಾಧಿಕಾರದಿಂದ ಅನುಮೋದಿಸಲ್ಪಟ್ಟ ನೂತನ ಪರಿಷ್ಕೃತ ದರವನ್ನು ಎಲ್ಲಾ ಪ್ರಯಾಣಿಕರ ಆಟೋಗಳಲ್ಲಿ ಪ್ರಯಾಣಿಕರಿಗೆ ಕಾಣುವಂತೆ ಪ್ರದರ್ಶಿಸಬೇಕು. ಪರಿಷ್ಕೃತ ದರಗಳನ್ನು ಮೀಟರಿನಲ್ಲಿ 28-02-2022 ರ (ಪರಿಷ್ಕೃತ ದರ ಜಾರಿಗೆ ಬಂದ 90 ದಿನದ ಒಳಗಾಗಿ) ಮುಂಚೆ ಪುನಃ ಸತ್ಯ ಮಾಪನೆ ಮಾಡಿ ಸೀಲ್ ಹಾಕಿಸಿಕೊಳ್ಳಬೇಕು ಎಂದು ಜಿಲ್ಲಾಧಿಕಾರಿಗಳು ತಮ್ಮ ಆದೇಶದಲ್ಲಿ ತಿಳಿಸಿದ್ದಾರೆ.


























